• Предмет: Математика
  • Автор: udrak16
  • Вопрос задан 2 года назад

ХЕЛП!!!!!!!!!!!!!!!!!!!!!!!!!!!!!!!!

Приложения:

Ответы

Ответ дал: сок111213
1

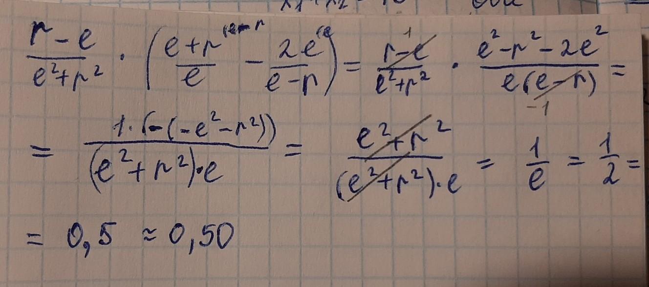
Решение на прикреплённой фотографии

Приложения:
Вас заинтересует