• Предмет: Алгебра
  • Автор: grxndsss
  • Вопрос задан 2 года назад

Внести число під знак кореня
1) 5√1,4
2) 5/8√128
СРОЧНО​

Ответы

Ответ дал: Аноним
2

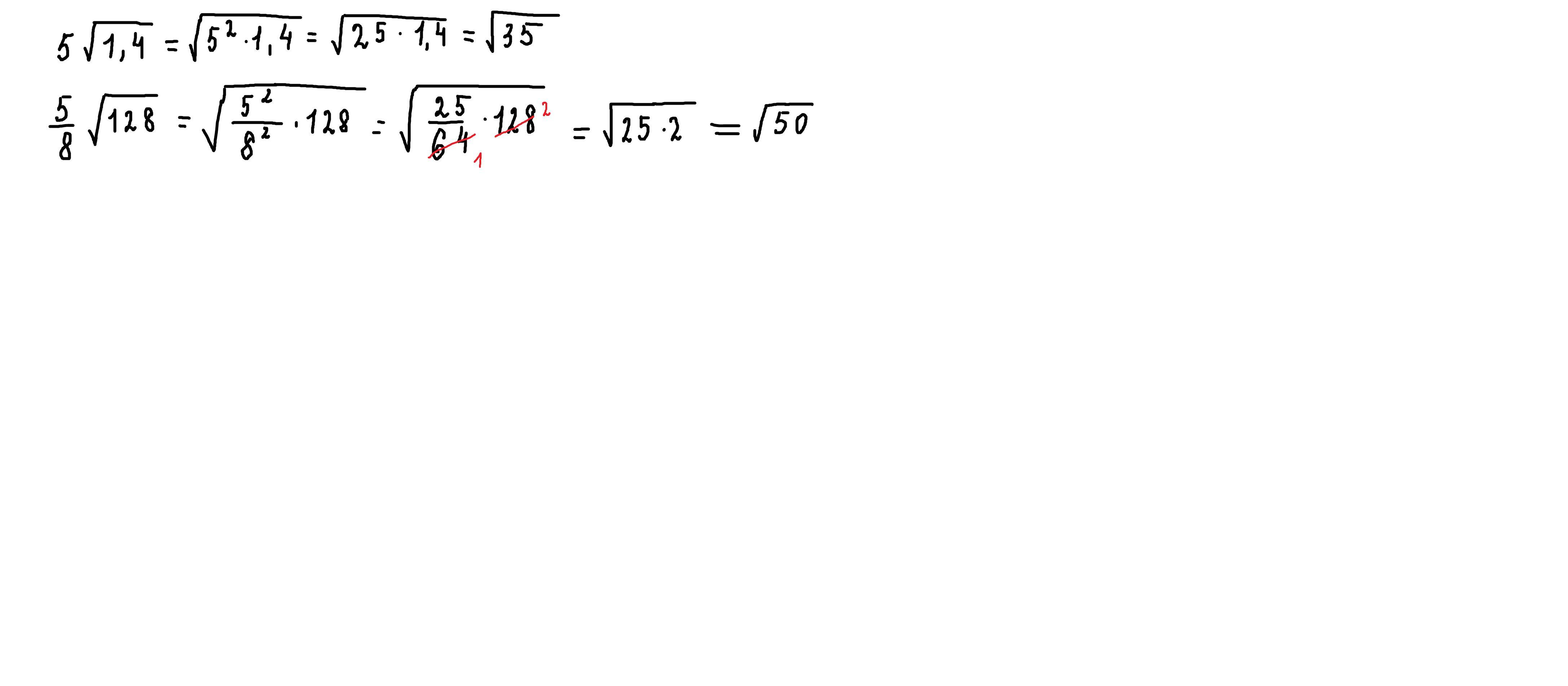
1) \: 5 \sqrt{1.4}  =  \sqrt{1.4 \times  {5}^{2} }  =  \sqrt{1.4 \times 25}  =  \sqrt{35}

2) \:  \frac{5}{8}  \sqrt{128}  =  \sqrt{128 \times ( \frac{5}{8}) {}^{2}  }  =   \sqrt{128 \times  \frac{25}{64} }   =  \sqrt{2 \times 25}  =  \sqrt{50}


grxndsss: Спасибо
Аноним: ок
Ответ дал: parus77
2

Ответ:

Объяснение:

решение внизу,для этого надо возвести в квадрат число,которое стоит  перед знаком корня

Приложения:

Аноним: супер!)
Вас заинтересует