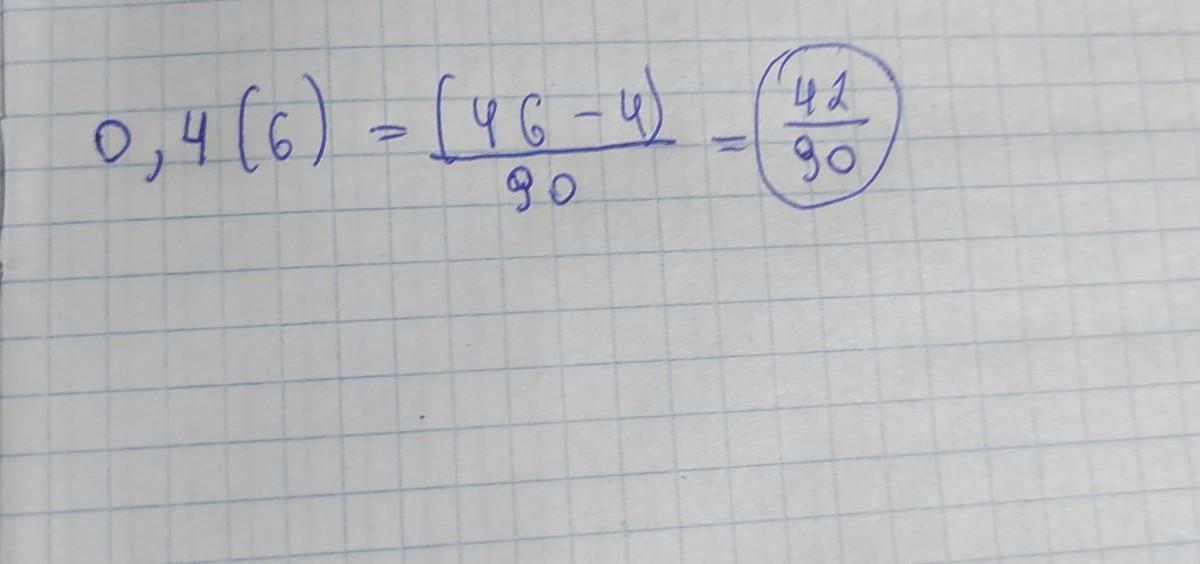
Переведіть десятковий дріб у звичайний: 0,4(6)
даю 68б
MrProfessor:
если не сложно ,можете пожалуйста ответ сделать лучшим
Ответы
Ответ дал:
1
Решение на фото.......
Приложения:

Вас заинтересует
1 год назад
1 год назад
1 год назад
3 года назад
8 лет назад