• Предмет: Алгебра
  • Автор: evgenua7905
  • Вопрос задан 2 года назад

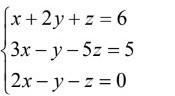
Пожалуйста помогите пожалуйста решить методом Гаусса ​

Приложения:

Ответы

Ответ дал: zdima27854
1

Объяснение:

виписуємо числа, робимо щоб були нулі в інших рядах і обчислюємо

Приложения:
Вас заинтересует