• Предмет: Математика
  • Автор: 1414zhenya
  • Вопрос задан 2 года назад

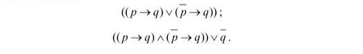
Еквівалентними перетвореннями перевірити, чи є тавтологіями висловлювання:
_
((p->q)v(p->q))
__
((p->q)^(p->q))vq​

Приложения:

Ответы

Ответ дал: antonappst
0

Ответ: Для розв'язання цієї логічної задачі використаємо закони логіки:

Конструкція "p->q" еквівалентна конструкції "~pvq", де "~" позначає заперечення (NOT), а "v" - диз'юнкцію (OR).

Конструкція "p^q" еквівалентна конструкції "~(p->~q)".

Отже, застосуємо ці закони до заданого виразу:

((p->q)v(p->q)) = (~pvq)v(~pvq) (1)

((p->q)^(p->q))vq = ~(p->~q)vp (2)

Застосуємо закон дистрибутивності до (1):

(~pvq)v(~pvq) = ~p^(vqvv)~p (3)

Тепер підставимо (3) в (2):

~(p->~q)vp = ~p^(vqvv)~p v p (4)

Застосуємо закон домінуючого члена до (4):

~p^(vqvv)~p v p = p v ~p^(vqvv)~p = T^(vqvv)~p = vqvv (відповідь)

Пошаговое объяснение:

Вас заинтересует