даю 100 балов надо срочно !!!!!!!!!!!!!!!!полный решение . даю 100 балів треба терміново !!!!!!!!!!!!!!!!
Приложения:

Ответы
Ответ дал:
2
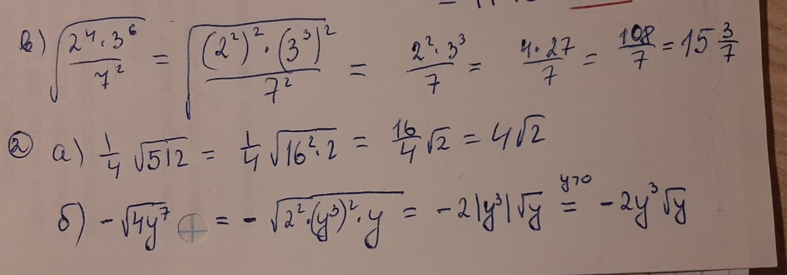
решение на прикреплённой фотографии
Приложения:


nigiggiga193828:
спасибо
Вас заинтересует
1 год назад
1 год назад
1 год назад
1 год назад
3 года назад
8 лет назад