• Предмет: Алгебра
  • Автор: meowk0hd20p7
  • Вопрос задан 2 года назад

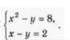
Розв'язати систему рiвнянь:​

Приложения:

Ответы

Ответ дал: сок111213
2

решение системы уравнений на фото

Приложения:
Вас заинтересует