Ответы
Ответ дал:
2
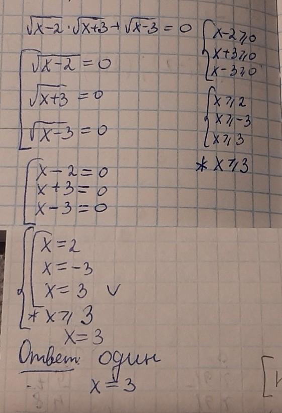
решение уравнения на прикреплённой фотографии
Приложения:

Вас заинтересует
1 год назад
1 год назад
1 год назад
1 год назад
3 года назад
3 года назад
8 лет назад
8 лет назад