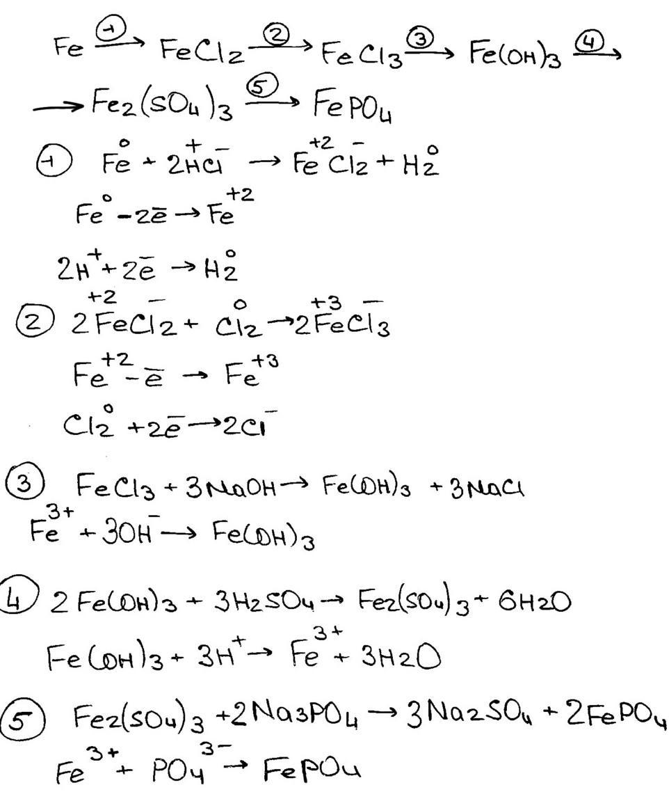
Здійснити перетворення за схемою, в окисно-відновних реакціях вказати ступінь окиснення й перехід електронів, в реакціях обміну вказати молекулярне й скорочене йонне рівняння.
Fe -› FeCh2 -› FeCI3 -> Fe(OH)3 -› Fe2(SO4)3 -> FePO4
Приложения:

Ответы
Ответ дал:
0
Решение в приложенном файле.
#SPJ1
Приложения:

Вас заинтересует
1 год назад
1 год назад
1 год назад
3 года назад
3 года назад
8 лет назад
8 лет назад