• Предмет: Алгебра
  • Автор: solodkovkosty
  • Вопрос задан 2 года назад

Помогите пожалуйста, задание прикрепил

Приложения:

Ответы

Ответ дал: MuhammadGulu
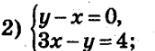
1

\left \{ {{y - x = 0} \atop {3x - y = 4}} \right.  + \\ 2x = 4 \:  \:  \:  \:  \:  \:  \:  \:  \:  \:  \:  \:  \:  \:  \:  \:  \:  \\ x = 2 \:  \:  \:  \:  \:  \:  \:  \:  \:  \:  \:  \:  \:  \:  \:  \:  \:  \:  \\  \\ y - x = 0 \:  \:  \:  \:  \:  \:  \:  \:  \:  \:  \:  \:  \\ y - 2 = 0 \:  \:  \:  \:  \:  \:  \:  \:  \:  \:  \:  \:  \\ y = 2 \:  \:  \:  \:  \:  \:  \:  \:  \:  \:  \:  \:  \:  \:  \:  \:  \:  \:  \:  \:

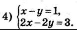
\left \{ {{x - y = 1 \:  \:  \: } \atop {2x - 2y = 3}} \right. \:  \:  \:  \:  \:  \:  \\ x - y = 1 \:  \:  \:  \:  \:  \:  \:  \:  \:  \:  \:  \:  \:  \:  \:  \\ x = 1 + y  \:  \:  \:  \:  \:  \: \:  \:  \:  \:  \:  \:  \:  \:  \:  \\  \\ 2x - 2y = 3  \:  \:  \:  \:  \:  \:  \: \:  \:  \:  \:  \\ 2(1 + y) - 2y = 3 \\ 2 + 2y - 2y = 3 \:  \:  \:

"у" сокращается, уравнения не имеет решение

Вас заинтересует