• Предмет: Математика
  • Автор: Аноним
  • Вопрос задан 2 года назад

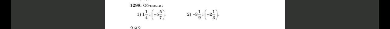
Как ето сделать пжжжжж даю 2000б пжжжжжж фото тут:

Приложения:

Ответы

Ответ дал: papugaichka9
1

Ответ:

1 ответ 12 2 ответ 7

Пошаговое объяснение:

1/4:(-5 5/7)= 1/4*-5 5/5= 12

-3 1/9:(-2 1/3)=-3 1/9*1/3= 7

элементарно же

Вас заинтересует