• Предмет: Математика
  • Автор: sunnatovsamandar668
  • Вопрос задан 2 года назад

помогите пожалуйста ​

Приложения:

Ответы

Ответ дал: сок111213
1

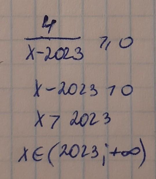
Решение неравенства на фото

точка выколота, число не входит в ответ, потому что знаменатель не может равняться нулю.

Приложения:

sunnatovsamandar668: спасибо большое
Вас заинтересует