• Предмет: Алгебра
  • Автор: kittycat13
  • Вопрос задан 10 лет назад

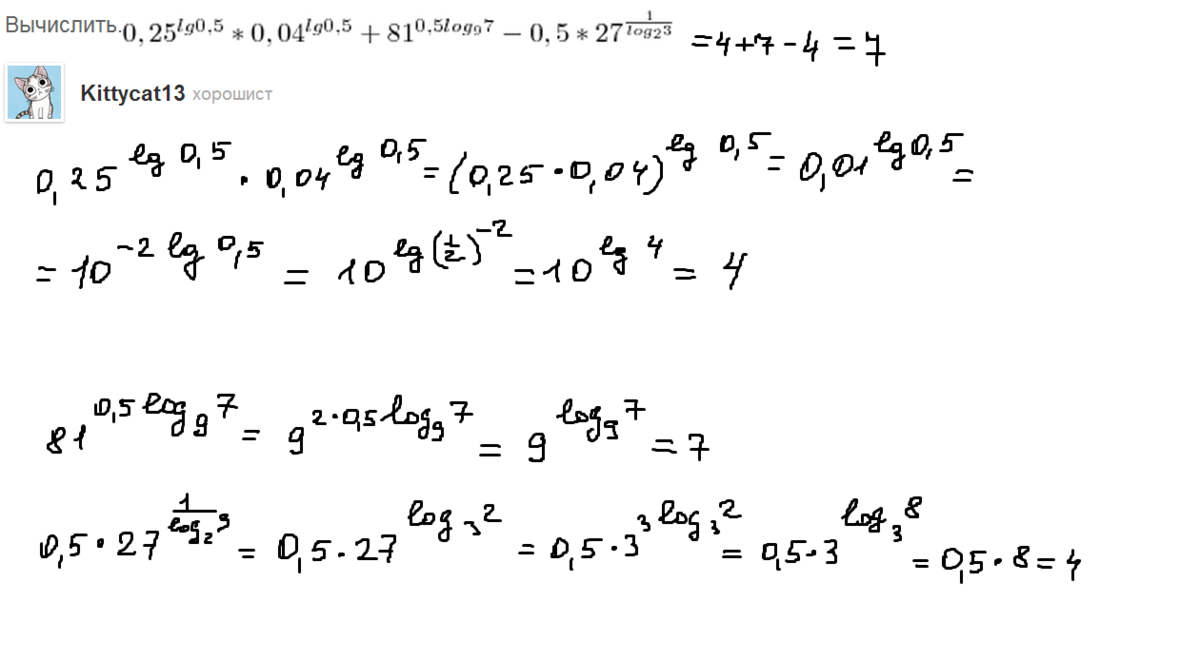
Вычислить. 0,25^{lg 0,5} *  0,04^{lg0,5} +  81^{0,5  log_{9}7 } -  0,5*  27^{ frac{1}{ log_{2}3 } }

Ответы

Ответ дал: esmilya
0
Если понравилось решение - нажимай "спасибо" и "лучший" (рядом с кнопкой "спасибо") :)
Приложения:
Вас заинтересует