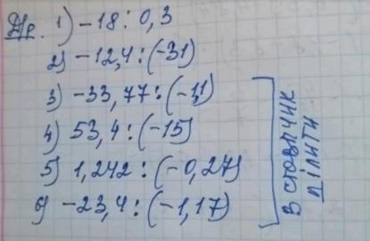
Математика 6 клас. Ділення раціональних чисел. НЕ ЧЕРЕЗ КАЛЬКУЛЯТОР
будь ласка, як умога швидше 86 БАЛЛІВ
Приложения:

Ответы
Ответ дал:
1
решение столбиком на прикреплённой фотографии
Приложения:

Вас заинтересует
1 год назад
1 год назад
1 год назад
3 года назад
3 года назад
8 лет назад
8 лет назад