• Предмет: Математика
  • Автор: generalovaeva2011
  • Вопрос задан 2 года назад

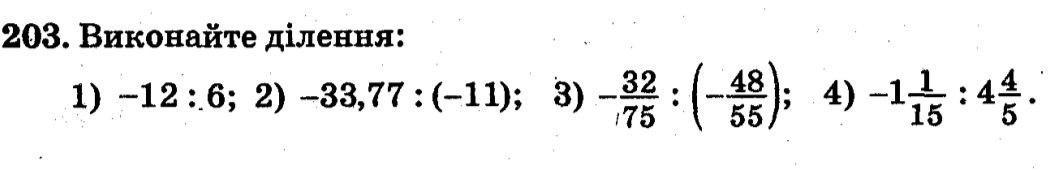
Хелп , ваще хз как делать

Приложения:

Ответы

Ответ дал: aalia7106
1

Ответ:

Пошаговое объяснение:

3,2*(-6)-7,8:(8,8-10,1)=

-19,2-7,8:(-1,3)=

-19,2+6=-13,2  

(-1,2+4,32:(-1,8)):(-0,01):(-0,3)

4,32:(-1,8)= -2,4

-1,2-2,4= -3,6

-3,6:(-0,01)=360

360:(-0,3)= -1200

Вас заинтересует