Ответы
Ответ дал:
1
Ответ:
4) -5
Пошаговое объяснение:
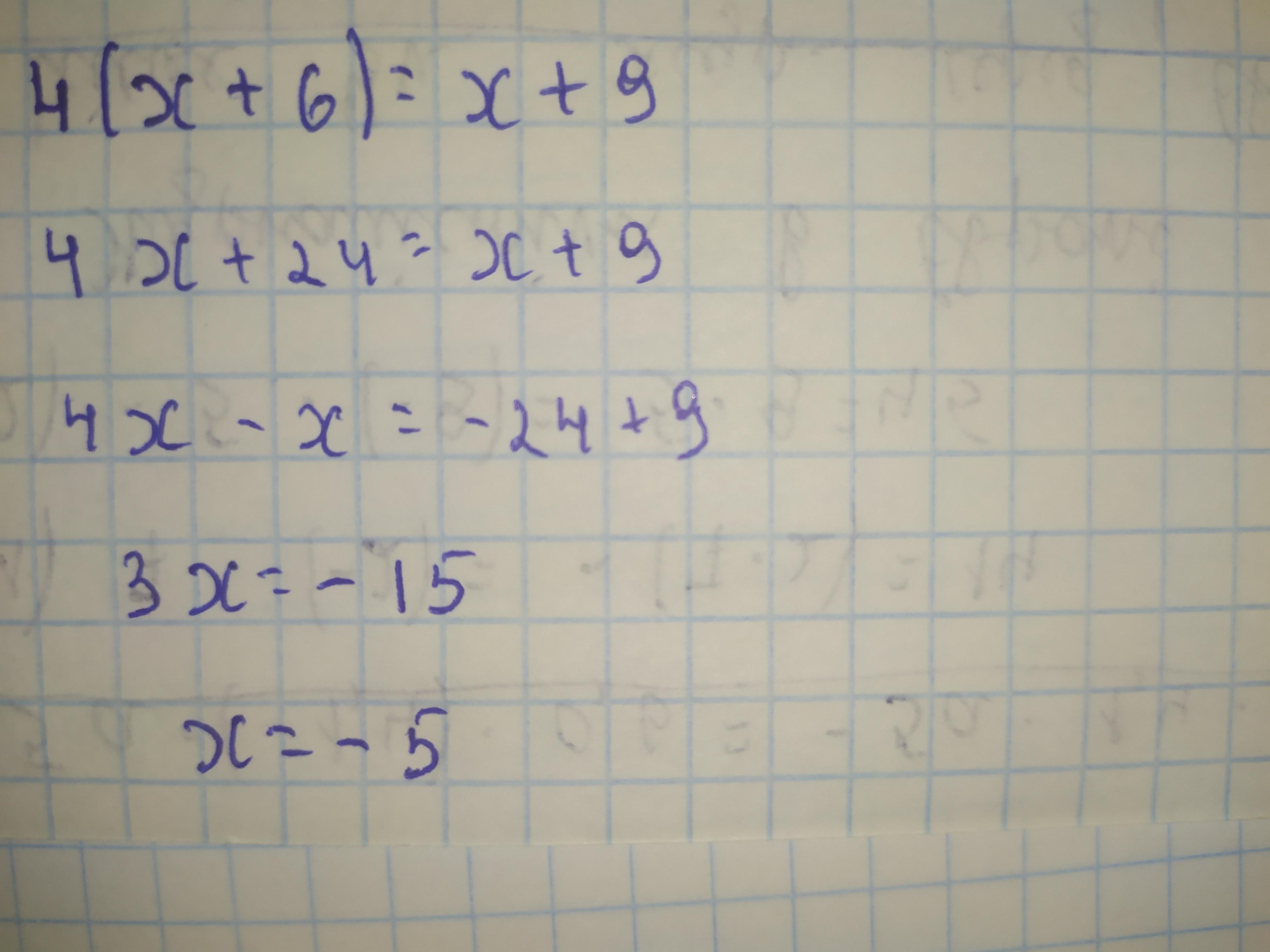
4(х + 6) = х + 9
4х + 24 = х + 9
4х - x = 9 - 24
3х = -15
х = -15 : 3
x = -5
Ответ дал:
1
Ответ:
фото
Пошаговое объяснение:
Приложения:

Вас заинтересует
1 год назад
1 год назад
1 год назад
1 год назад
3 года назад
3 года назад
8 лет назад
8 лет назад