• Предмет: Алгебра
  • Автор: ilonakarpen
  • Вопрос задан 2 года назад

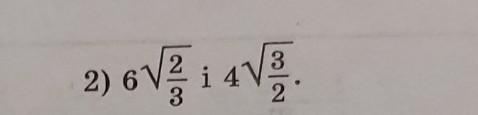
допоможіть пж, з УСІМА ДІЯМИ
порівняйте числа​

Приложения:

Ответы

Ответ дал: erzhanespolov1984
0

Ответ:

d=0 не точно но сделал сам и проверил из фото маза

Вас заинтересует