• Предмет: Алгебра
  • Автор: sinamengirl
  • Вопрос задан 2 года назад

пожалуйста помогите!​

Приложения:

Ответы

Ответ дал: Alnadya
1

Решение.

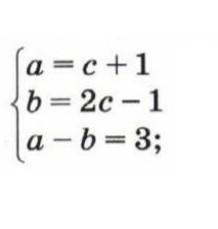
Подставим в 3 уравнение системы выражения для a  и  b через переменную  с  из 1 и 2 уравнений .

\left\{\begin{array}{l}\bf a=c+1\\\bf b=2c-1\\\bf a-b=3\end{array}\right\ \ \left\{\begin{array}{l}\bf a=c+1\\\bf b=2c-1\\\bf (c+1)-(2c-1)=3\end{array}\right\ \ \left\{\begin{array}{l}\bf a=c+1\\\bf b=2c-1\\\bf -c+2=3\end{array}\right\\\\\\\left\{\begin{array}{l}\bf a=c+1\\\bf b=2c-1\\\bf c=-1\end{array}\right\ \ \left\{\begin{array}{l}\bf a=-1+1\\\bf b=-2-1\\\bf c=-1\end{array}\right\ \ \left\{\begin{array}{l}\bf a=0\\\bf b=-3\\\bf c=-1\end{array}\right\ \

Вас заинтересует