Ответы
Ответ дал:
0
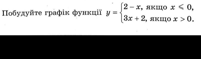
Включена точка: 0,2
Перетин з віссю координат: 0,2
Виколота точка: 0,2
Перетин з віссю координат: 0,2
Виколота точка: 0,2
Приложения:

Вас заинтересует
1 год назад
1 год назад
1 год назад
1 год назад
3 года назад
8 лет назад