• Предмет: Математика
  • Автор: Egerb3
  • Вопрос задан 2 года назад

ПОМОГИТЕ СРОЧНО ЗАДАНИЯ НА СКРИНШОТАХ
ОТПРАВЬТЕ ОТВЕТЫ ТЕКСТОМ ПОЖАЛУЙСТА

Приложения:

Ответы

Ответ дал: jekadva
0

Ответ:

Пошаговое объяснение:

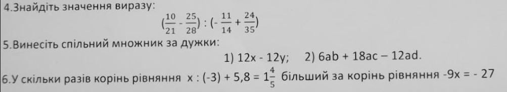
(\frac{10}{21} -\frac{25}{28} ):(-\frac{11}{14} + \frac{24}{35} ) = (\frac{40}{84} -\frac{75}{84} ):(-\frac{55}{70} +\frac{48}{70} ) = -\frac{35}{84} :(-\frac{1}{10} ) = -\frac{35}{84} *(-10)=\frac{350}{84} =4\frac{1}{6}

5.

1)  12x - 12y = 12(x - y)

2) 6ab + 18ac - 12ad = 6a(b + 3c - 2d)

6.

x : (-3) + 5,8 = 1 4/5

x : (-3) = 1,8 - 5,8

x : (-3) = -4

x = -4 * (-3)

x = 12

-9x = -27

x = -27 : (-9)

x = -3

12 : 3 = 4раза во столько  корень первого уравнения больше корня из второго уравнения

Ответ дал: pawlokhvostow2305
0

Ответ:

4 завдання відповідь

  \frac{25}{6} = 4 \times \frac{1}{6 \\ }

5 завдання

1) 4(3x-3y)

2) 3(2ab+6ac-4ad)

6 Завдання

перший корінь x=12

другий корінь x=3

12/3=4

Відповідь: Корінь першого рівняння більший за корінь другого рівняння в 4 рази

Вас заинтересует