• Предмет: Математика
  • Автор: Аноним
  • Вопрос задан 2 года назад

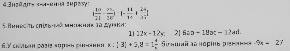
Помогите пожалуйста задания на скриншоте
завтра уже сдавать

Приложения:

Ответы

Ответ дал: tatsach
1

Ответ:

Пошаговое объяснение:

Приложения:

Аноним: Можно текстом пожалуйста
Вас заинтересует