• Предмет: Физика
  • Автор: brovarskiya
  • Вопрос задан 2 года назад

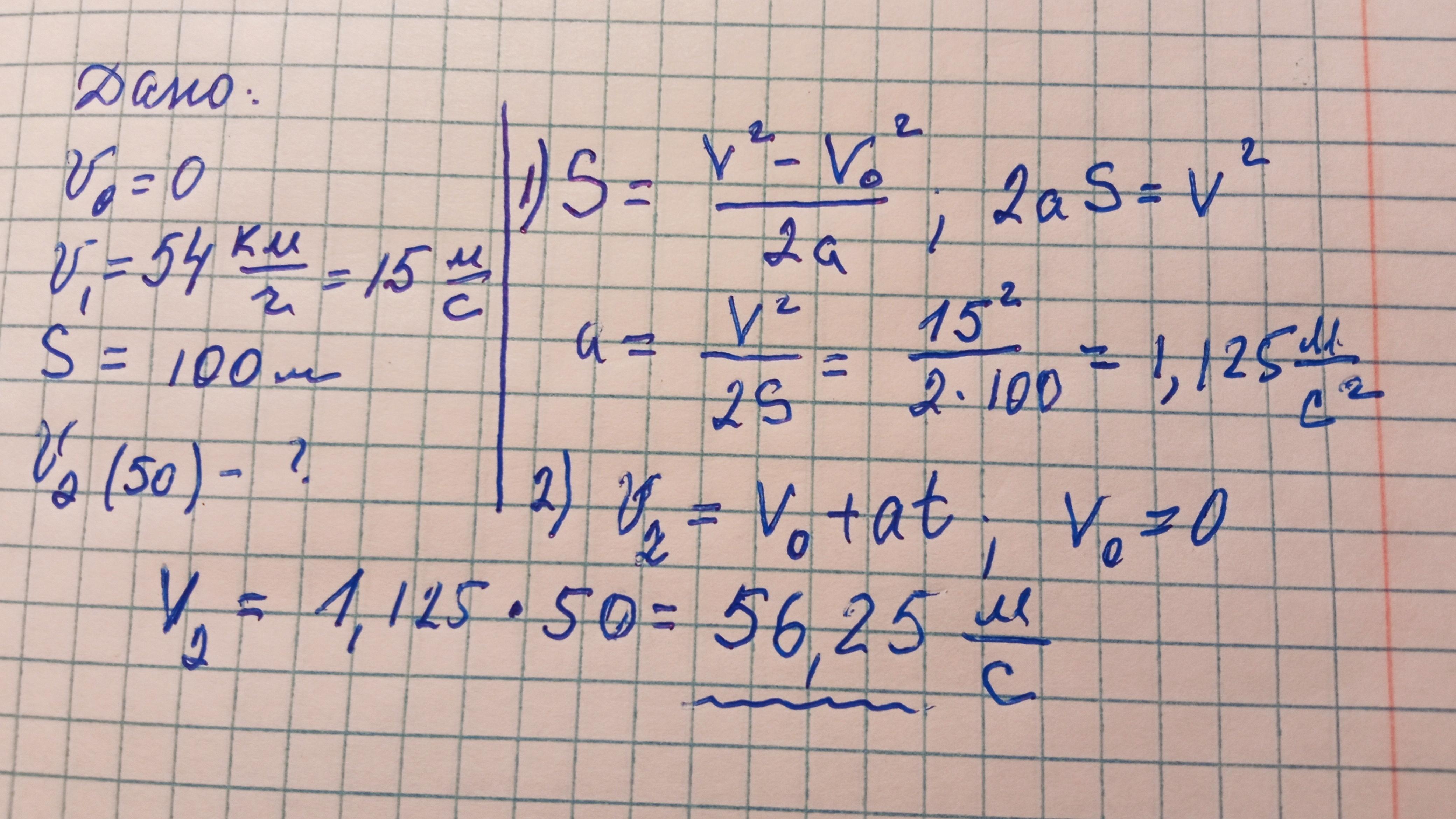
Завдання 5. (3 бала). Рухаючись із стану спокою автомобіль, пройшовши шлях 100 м, придбав швидкість 54 км/год. Якою буде швидкість автомобіля через 50 с після початку руху?50!!!БАЛЛОВ

Ответы

Ответ дал: Cohendd
0

Ответ:

Объяснение:.....

Приложения:
Вас заинтересует