• Предмет: Алгебра
  • Автор: marlborosqud
  • Вопрос задан 2 года назад

Помогите быстрееееееее​

Приложения:

Ответы

Ответ дал: ByLkasmakom6
0

Ответ:

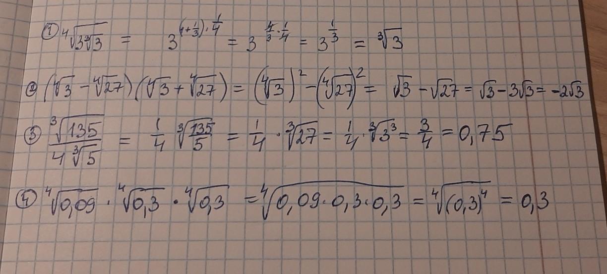
ответ на фото

Объяснение:

///////////////

Приложения:

marlborosqud: первый не правильный
ByLkasmakom6: Сори, очень спешил =')
ByLkasmakom6: благадарю, буду внимательнее :)
Ответ дал: сок111213
1

Решение на прикреплённой фотографии

Приложения:
Вас заинтересует