• Предмет: Алгебра
  • Автор: Аноним
  • Вопрос задан 2 года назад

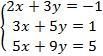
Чи має розв’язок система рівнянь: ?

(-8; 5)

(3; 0)

не має

(3;0)

Приложения:

Ответы

Ответ дал: сок111213
3

2x + 3y =  - 1 \\ 3x + 5y = 1 \\ 5x + 9y = 5 \\  \\ x =  -  1.5y - 0.5 \\ 3( - 1.5y - 0.5) + 5y = 1 \\ 5( - 1.5y - 0.5) + 9y = 5 \\  \\  - 4.5y - 1.5 + 5y = 1 \\  - 7.5 y- 2.5 + 9y = 5 \\  \\ 0.5y = 2.5 \\ 1.5y = 7.5 \\  \\ y = 2.5 \div 0.5 \\ y = 7.5 \div 1.5 \\  \\ y = 5 \\ y = 5 \\  \\ x =  - 1.5 \times 5 - 0.5 =  - 7 - 0.5 - 8

Ответ: (-8 ; 5)

Вас заинтересует