• Предмет: Геометрия
  • Автор: evgeniisuglobov
  • Вопрос задан 2 года назад

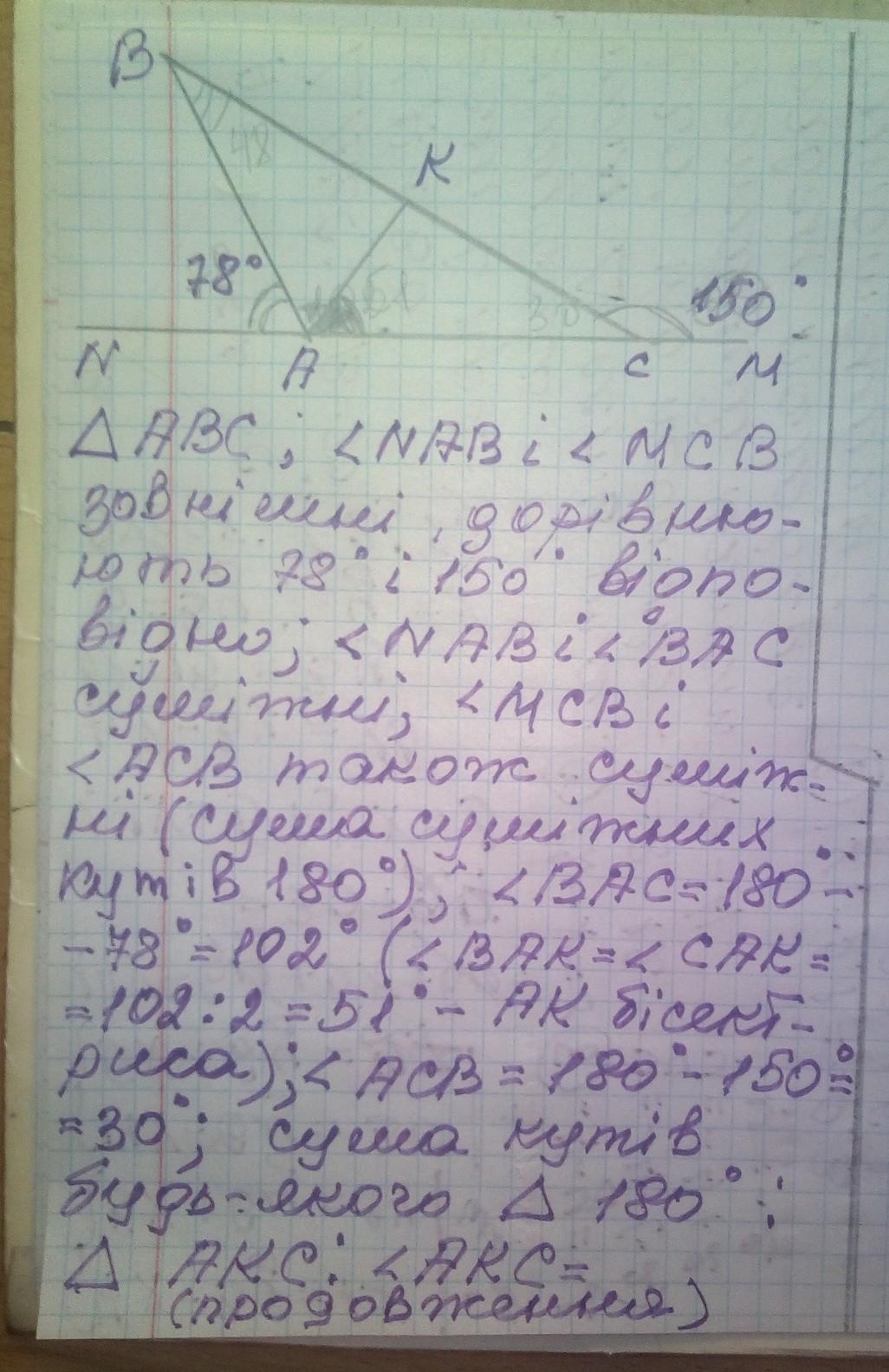
Два зовнішні кути трикут ника дорівнюють 150° i 78°. Знайдіть кути, які бісект- риса найбільшого кута три- кутника утворює 3 найбільшою стороною. його найбільшою стороною

З РИСУНКОМ ІНАКШЕ ЖАЛОБА

Ответы

Ответ дал: manyny06
1

Ответ:

решение смотри на фотографии

2 фотографии

Приложения:
Вас заинтересует