• Предмет: Алгебра
  • Автор: elenalihner84
  • Вопрос задан 2 года назад

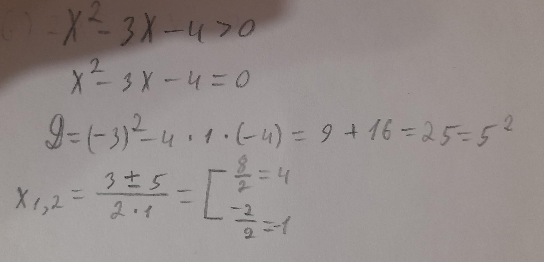
Х ^2 - Зх - 4 > 0 сможете решить

Ответы

Ответ дал: aya11asem
1

Решено через дискриминант , в задаче точно не указано было как решать,_,

Приложения:

elenalihner84: Спасибо большое
aya11asem: :)
Вас заинтересует