Ответы
Ответ дал:
1
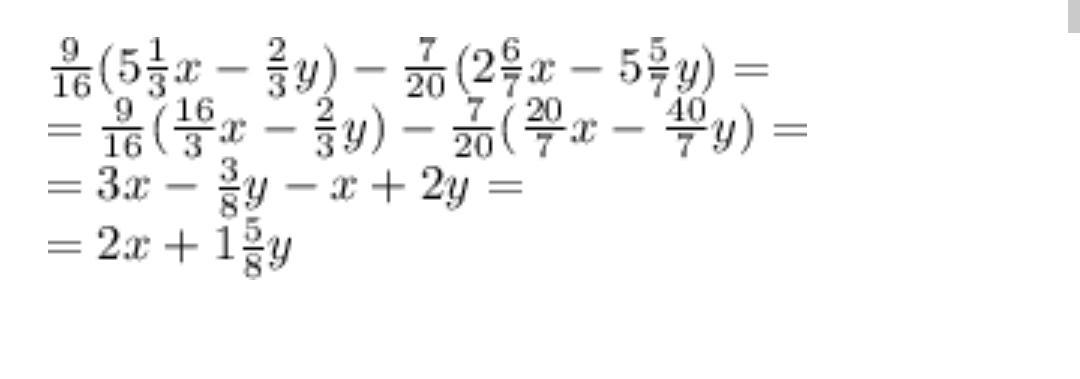
Ответ:Ну вот
Пошаговое объяснение:
Это вроде бы
Приложения:

yrakornashenko:
спасибо боатан
Вас заинтересует
1 год назад
1 год назад
3 года назад
3 года назад
8 лет назад
8 лет назад