• Предмет: Алгебра
  • Автор: kompotkun
  • Вопрос задан 2 года назад

Помогите, а то я не успеваю

Приложения:

Ответы

Ответ дал: sandraello
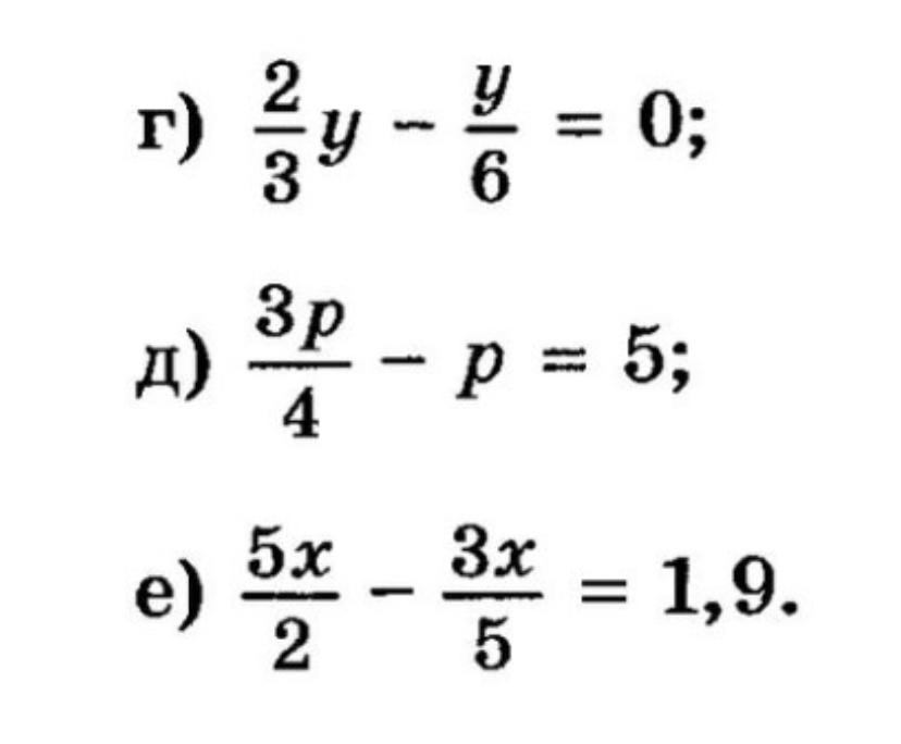
1
1. 4у-у=0; 3у=0 у=0
2. 3р-4р=20; р=–20
3. 25х-6х=19; 19х=10; х=1
Ответ дал: Gefkrss
1

Ответ:

Объяснение:

1) 4y-y=0

3y=0

y=0

2)3p-4p=20

-p=20

p=20

p=-20

3)5x/2-3x/5=19/10 если что / ет дробь

но только в етом!!!!!

25x-6x=19

19x=19

X=1


Вас заинтересует