вибачте що вас так мучаю, але поможітьь!! спростіть вирази та найдіть їхні кофіцієнти:
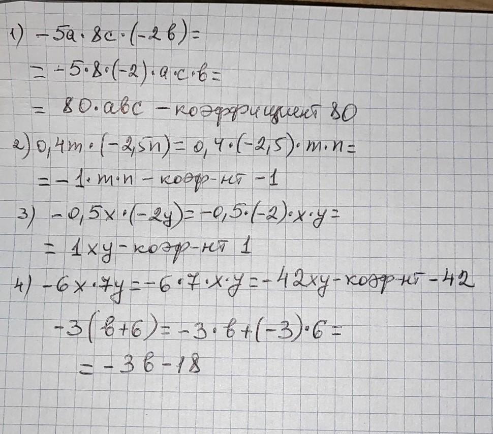
-5а•8c•(-2b)=
0,4m•(-2,5n)=
-0,5x•(-2y)=
-6x•7y=
розкрий дужки: -3(b+6)=
                        
                            
                                    
                    sonnss:
                    дякуюю!!!
                
            Ответы
                                            Ответ дал: 
                                                                                            
                                                    
                                                
                                                                                    
                                        
                                            
                                                
                                                
                                                
                                                    1
                                                
                                            
                                        
                                    Ответ:
Пошаговое объяснение:
-5а*8с*(-2b)=80аbс - коэф 80
0,4m*(-2,5n)=-mn - коэф -1
-0,5x*(-2y)=xy - коэф 1
-6x*7y=-42xy - коэф -42
-3(b+6)=-3b-3*6=-3b-18
                                            Ответ дал: 
                                                                                    
                                        
                                            
                                                
                                                
                                                
                                                    1
                                                
                                            
                                        
                                    Ответ:
вот решение
Пошаговое объяснение:
на листочке
Приложения:
                     
                            
                    
                    дуже дякую, врятували!!
                
            
                    
                    Будь ласка
                
            Вас заинтересует
                
                        1 год назад
                    
                
                        1 год назад
                    
                
                        1 год назад
                    
                
                        1 год назад
                    
                
                        3 года назад
                    
                
                        3 года назад
                    
                
                        8 лет назад