• Предмет: Алгебра
  • Автор: niykkkkkkljhg
  • Вопрос задан 2 года назад

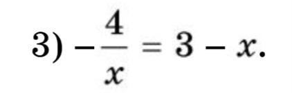
Решите графически уравнение:
3).....на фото

Приложения:

Ответы

Ответ дал: сок111213
1

График на прикреплённой фотографии

Приложения:
Вас заинтересует