• Предмет: Алгебра
  • Автор: sxp6311
  • Вопрос задан 2 года назад

Розкладання квадратного тричлену на лінійні множники​

Приложения:

Ответы

Ответ дал: сок111213
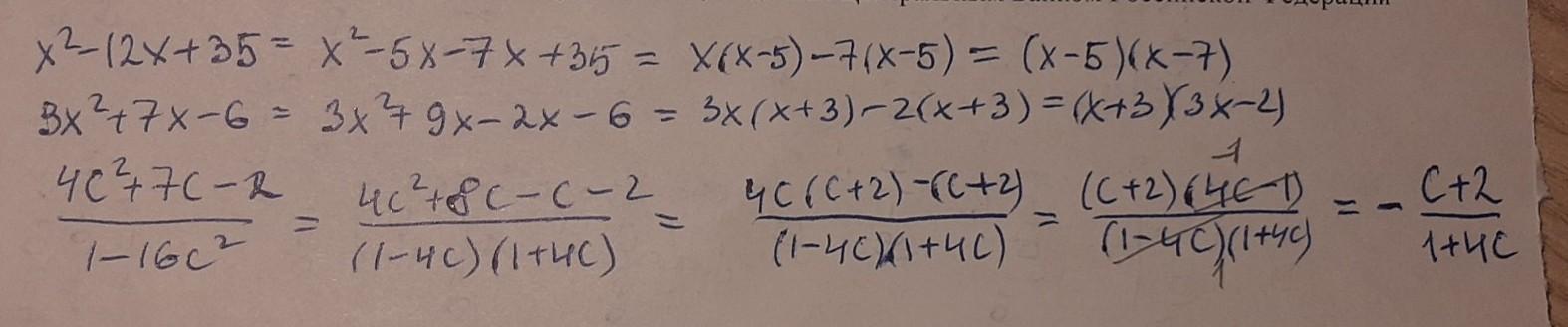
2

решение на прикреплённой фотографии

Приложения:
Вас заинтересует