Даю 30 балов
Розрахуйте масову частку нітратної кислоти (HNO3)в розчині, в 1120г якого міститься 224г нітраної кислоти
Ответы
Ответ дал:
2
Відповідь:
w=224*100/1120=20%
Пояснення:
Ответ дал:
1
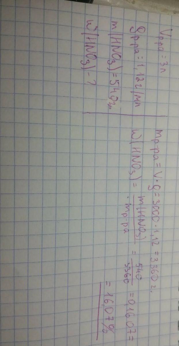
w(HNO3)=16.07%
Объяснение:
Посмотри на картинку и поймёш
Приложения:

Вас заинтересует
1 год назад
1 год назад
1 год назад
3 года назад