Ответы
Ответ дал:
1
Ответ:
Пошаговое объяснение:
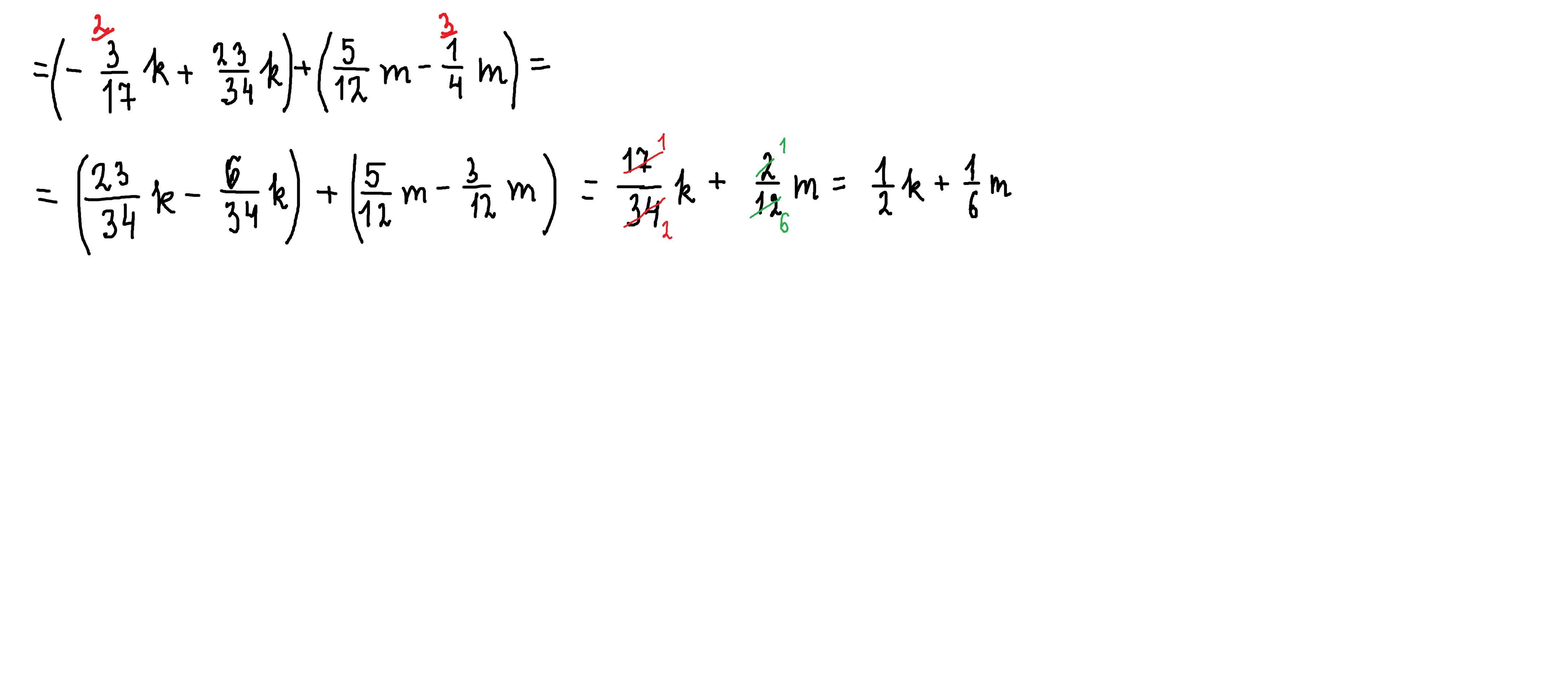
решение внизу
Приложения:

Вас заинтересует
1 год назад
1 год назад
1 год назад
3 года назад
3 года назад
8 лет назад