• Предмет: Алгебра
  • Автор: 6w8qqc5gtr
  • Вопрос задан 2 года назад

❗️❗️❗️❗️❗️Срочнноооооооооооооо❗️❗️❗️❗️❗️❗️❗️❗️❗️❗️

Приложения:

Ответы

Ответ дал: 1307annanedelko
0

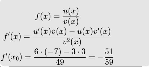
відповідь з інтернета)

Приложения:
Вас заинтересует