• Предмет: Алгебра
  • Автор: lslslslslsls511
  • Вопрос задан 2 года назад

Помогите пожалуйста!! очень срочно нужно ​

Приложения:

Ответы

Ответ дал: сок111213
2

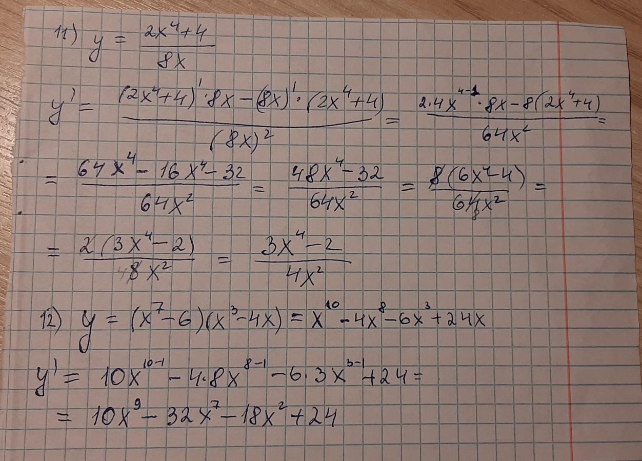
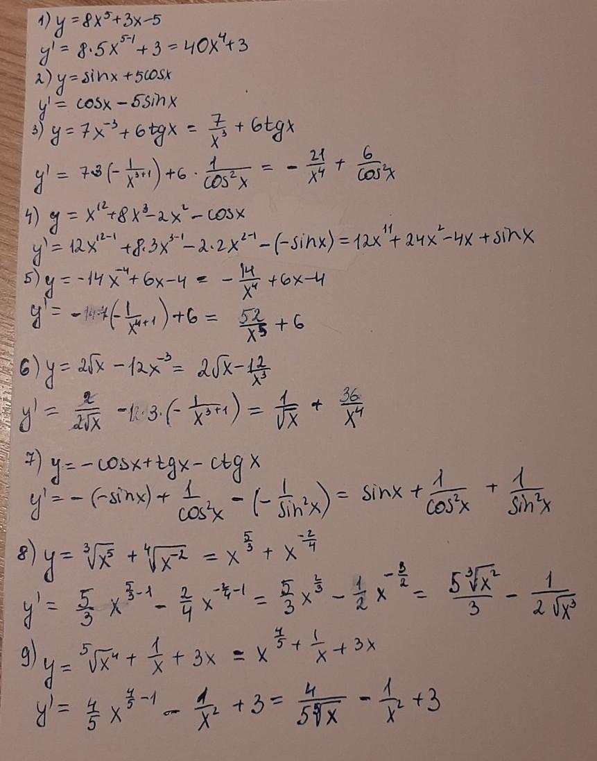
Производные на прикреплённой фотографии

Приложения:
Вас заинтересует