• Предмет: Физика
  • Автор: albinakara2007
  • Вопрос задан 2 года назад

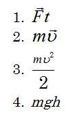
Встановіть відповідність математичного запису та фізичної величини, що описується такими виразами.

Приложения:

Аноним: я слышал есть какая-то группа по оптиме в тг, не знаешь случайно такой?
Аноним: ааа это ты)))
albinakara2007: Спасибо за ответ

Ответы

Ответ дал: Аноним
7

Ответ:

Ответ на фото

Объяснение:

Приложения:
Вас заинтересует