• Предмет: Математика
  • Автор: kicularustam314
  • Вопрос задан 2 года назад

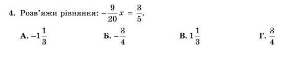
Допоможіть будь ласка ​

Приложения:

Ответы

Ответ дал: vitwiol01
0

Ответ:

Пошаговое объяснение:

-9/20х=3/5

-х=3/5:9/20

-х=3/5*20/9

-х=4/3

х=-4/3

х=-1 1/3

-9/20*(-4/3)=3/5

3/5=3/5

Вас заинтересует