• Предмет: Химия
  • Автор: loparnerka
  • Вопрос задан 2 года назад

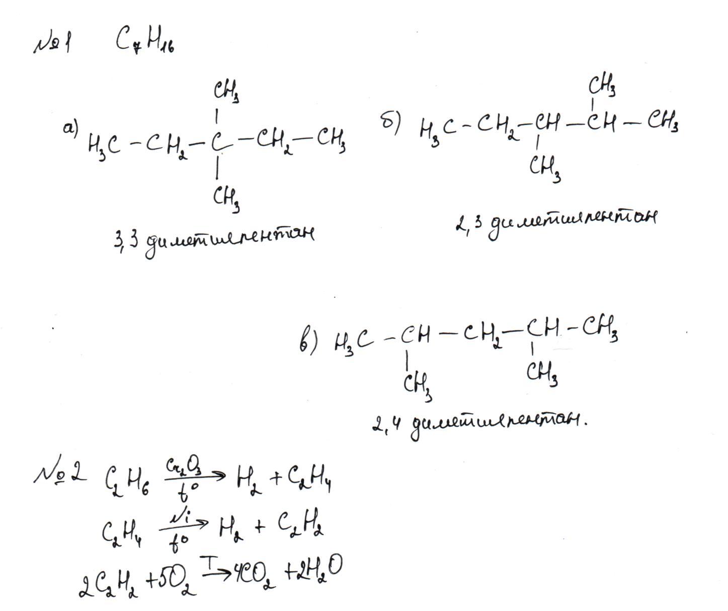
№1. Скласти структурні формули 3-х ізомерів алканів, що виражені молекулярною формулою С7Н16.
№2. Здійснити перетворення: С2Н6 > C2H4 > C2H2 > CO2

Ответы

Ответ дал: Kads1408
2

Ответ в изображении  

Приложения:
Вас заинтересует