• Предмет: Геометрия
  • Автор: Cuprunov
  • Вопрос задан 2 года назад

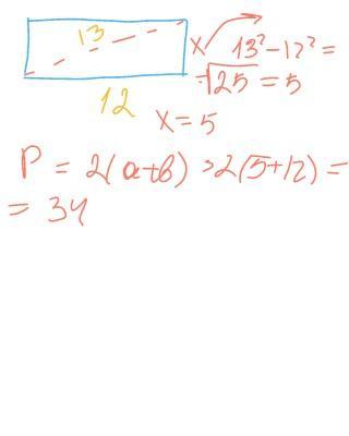
Знайти периметр прямокутника, якщо його сторона дорівнює 12 см, а діагональ 13 см.

Ответы

Ответ дал: Fireworld40
2

Ответ:

........................

Приложения:
Вас заинтересует