• Предмет: Математика
  • Автор: stepanmartinuk34
  • Вопрос задан 2 года назад

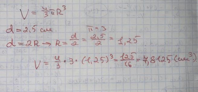
Обчисли об'єм кулі діаметром якої 2.5см (п=3)​

Ответы

Ответ дал: yevheniiavz
5

дивіться фото......................

Приложения:

timurpustovoit: Что такое d
katerinagolovac1: д-диаметр
voronfeniks79: ВЫ ПРО СОКРАЩЕНИЯ ЗАБЫЛИ
voronfeniks79: V ≈ 3/4 × 3 × 1,25³ ≈ 4 × 1,25³
voronfeniks79: там уже как будет, я прост ответ ещё не получил (я не умножил, лишь дал как это сделать)
Вас заинтересует