Ответы
Ответ дал:
0
.....................................................
Приложения:
Ответ дал:
0
/|
/ |
/ | 10
/_12|___
| /
| /
| /
| /
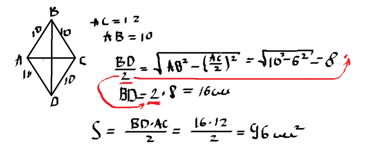
diagonali romba delitsa na dve palavini kotrie ravni drug drugu, i vse storani ravni drug drugu, saglasno teoremi pitagori 10^2= 6^ +X^ X^=64 X^=8 X eta palavina vtarogo diaganola znachet polni budet 16 a ploshad ravna S=diagnoal X diagonal razdelit na dva znachet S= 16X12 razdelit na dva eta ravna 96
/ |
/ | 10
/_12|___
| /
| /
| /
| /
diagonali romba delitsa na dve palavini kotrie ravni drug drugu, i vse storani ravni drug drugu, saglasno teoremi pitagori 10^2= 6^ +X^ X^=64 X^=8 X eta palavina vtarogo diaganola znachet polni budet 16 a ploshad ravna S=diagnoal X diagonal razdelit na dva znachet S= 16X12 razdelit na dva eta ravna 96
Приложения:
Вас заинтересует
8 лет назад
8 лет назад
11 лет назад
11 лет назад
11 лет назад
11 лет назад