• Предмет: Алгебра
  • Автор: yugggay
  • Вопрос задан 2 года назад

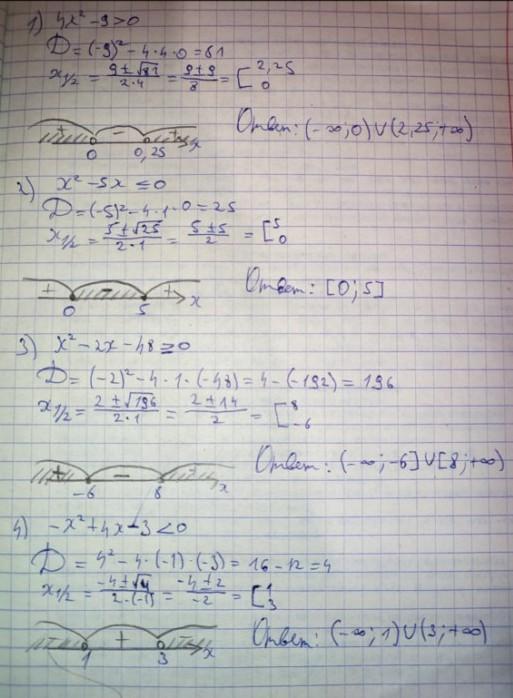
Постройте графики пожалуйста

Приложения:

Ответы

Ответ дал: nvq008
0

Ответ на фото :)

Отметь лучшим пожалуйста

Приложения:
Вас заинтересует