Ответы
Ответ дал:
0
Ответ:
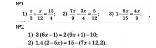
x/3+x/12=15/4
5x=45
5x/5=45/5
x=9
Пошаговое объяснение:
Приведите к общему знаменателю
Сложите дроби с одинаковыми знаменателями
Объедините подобные члены
Чтобы устранить знаменатели, умножьте все члены уравнения на одно и то же число
Сократите знаменатель
Умножьте числа
Разделите обе части на одно и то же значение.
Упростить выражение
Ответ дал:
0
Воамдвыиопвнщыфтжаслвв
Приложения:

Вас заинтересует
1 год назад
1 год назад
1 год назад
3 года назад
8 лет назад