• Предмет: Алгебра
  • Автор: bda06052010
  • Вопрос задан 2 года назад

помогите пожалуйста очень срочно надо решить

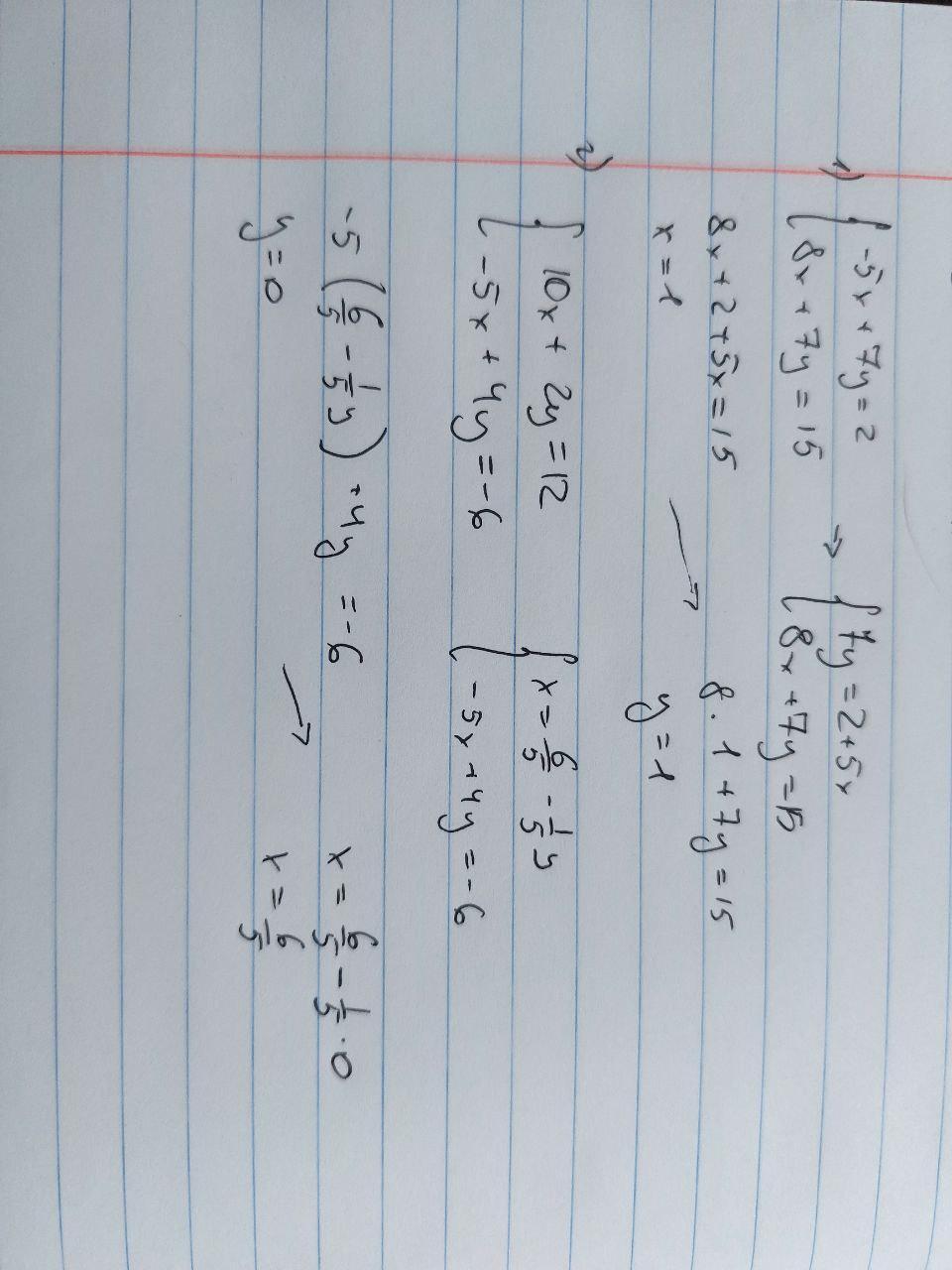
Приложения:

Ответы

Ответ дал: vladarapuncel
0

Ответ:

Объяснение:

ну вот както так

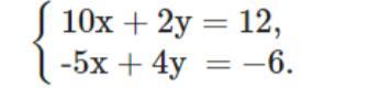
Приложения:

bda06052010: спасибо
Вас заинтересует