• Предмет: Алгебра
  • Автор: bog70play70
  • Вопрос задан 2 года назад

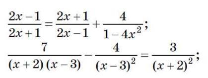
Розв’яжіть рівняння: на фото

Приложения:

Ответы

Ответ дал: mimasik64
0

Ответ:

ниже

Объяснение:

1 пример решения нету

2 пример: -17

Вас заинтересует