• Предмет: Алгебра
  • Автор: dropurname
  • Вопрос задан 2 года назад

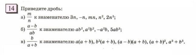
Помогите пожалуйста, это очень срочно!​

Приложения:

Ответы

Ответ дал: сок111213
1

Решение на прикреплённой фотографии

Приложения:
Вас заинтересует