• Предмет: Алгебра
  • Автор: di4824041
  • Вопрос задан 2 года назад

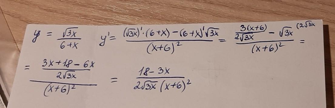
Найдите производную функцию: y= √3x/6+ х.​

Ответы

Ответ дал: сок111213
1

производная на прикреплённой фотографии

Приложения:
Вас заинтересует