• Предмет: Математика
  • Автор: viktoriasahosko
  • Вопрос задан 2 года назад

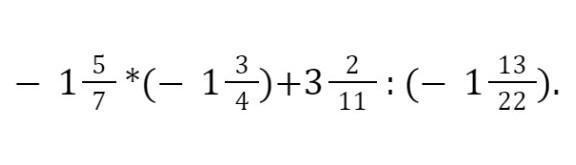
допоможіть СРОЧНО треба ​

Приложения:

Ответы

Ответ дал: kazu17132004
1

Ответ:

ответ 1 , если нужно решение, то сейчас напишу


kazu17132004: короче вот ссылка на сайт , запиши туда пример и там покажет решение https://www.mathway.com/ru/Algebra
Вас заинтересует