• Предмет: Математика
  • Автор: maks2011maks3
  • Вопрос задан 2 года назад

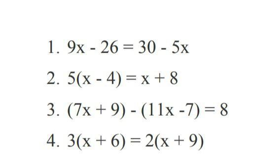
Розв'яжіть рівняння, СРОЧНО ПЖ!! даю 20 баллов​

Приложения:

Ответы

Ответ дал: TygypkoSophia2008
0

Ответ:

1. x=4

2. x=7

3. x=2

..........

Вас заинтересует