• Предмет: Математика
  • Автор: Kirill5927
  • Вопрос задан 2 года назад

ПОЖАЛУЙСТА ПОМОГИТЕ 6КЛАСС МАТЕМАТИКА

Приложения:

Ответы

Ответ дал: iramazurk
0

Пошаговое объяснение:

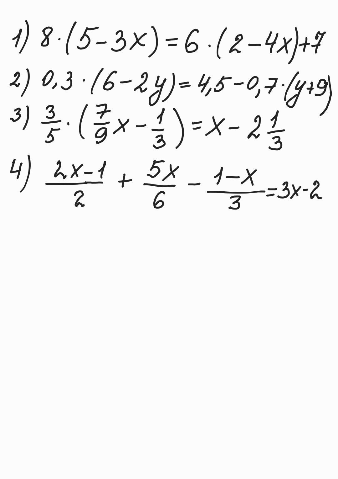
8 * (5 - 3х) = 6 * (2 - 4х) + 7

40 - 24х = 12 - 24х + 7

40 - 24х = -24х + 19

40 = 19

Нет корней

х Є

0,3 * (6 - 2у) = 4,5 - 0,7(у + 9)

1,8 - 0,6у = 4,5 - 0,7у - 6,3

-0,6у + 0,7у = 4,5 - 6,3 - 1,8

0,1у = -3,6

у = -3,6 ; 0,1

у = -36

3/5 * (7/9х - 1/3) = х - 2 1/3

21/45х - 3/15 = х - 2 1/3

21/45х - х = -2 1/3 + 3/15

-24/45х = -2 5/15 + 3/15

-8/15х = -2 2/15

х = -2 2/15 : (-8/15)

х = -32/15 * (-15/8)

х = -4/1 * (-1/1)

х = 4/1

х = 4

(2х - 1)/2 + 5х/6 - (1 - х)/3 = 3х - 2 | * 6

3(2х - 1) + 5х - 2(1 - х) = 6(3х - 2)

6х - 3 + 5х - 2 + 2х = 18х - 12

13х - 5 = 18х - 12

13х - 18х = -12 + 5

-5х = -7

х = -7 : (-5)

х = 1,4

Вас заинтересует